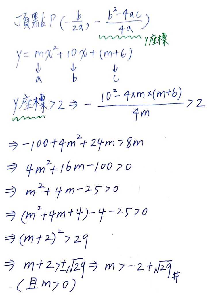
8. 設m ∈ R,二次函數 y = mx2 +10x+m+6的圖形恆在直線 y= 2的上方,則 實數 m 範圍為多少?
(A) m > 2+
(B)m < 2+
(C) m < −2+
(D)m > −2+
答案:登入後查看
統計: A(151), B(115), C(154), D(182), E(0) #1225470
統計: A(151), B(115), C(154), D(182), E(0) #1225470

