阿摩線上測驗
登入
首頁
>
迴歸分析
>
109年 - 109 地方政府特種考試_三等_統計:迴歸分析#94683
> 申論題
題組內容
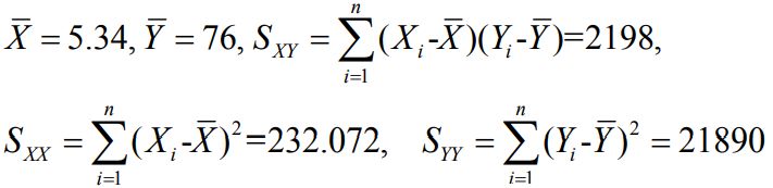
一、一位主管欲知道碩士級分析師的月薪是否可以用年資來預測,以作為 未來給薪的參考。他收集了30個樣本觀察值,資料包含年資(X,以年 為單位)和月薪(Y,以千元為單位) 。請依據下面數據和圖1回答問題。
(三)請問年資是5年的碩士級分析師之平均薪資的95%信賴區間。
相關申論題
(一)在配適的簡單線性迴歸方程式下,請利用最小平方法計算參數 β0 和 β1 估計值 ( estimates )。 如果將模型改為 ,請寫出參數α和β1最小平方估計式(least- squares estimators)及其估計標準誤(standard errors)。
#394711
(二) 假設, 請在顯著水準 α= 0.05 下 , 檢定 。請試述檢定統計量之值、決策法則和結論。請寫出在應用最大概似估計(Maximum likelihood estimation)法, α2的估計值。 請寫出利用最小平方法, α2的估計值。
#394712
二、(一)一位分析師受託分析一組資料。資料來自於20位25歲至34歲的健康 女性,其中包括反應變數 Y(身體脂肪)和三個解釋變數(X1:皮 褶厚度,X2:大腿圓周和 X3:中臂圓周)用作預測身體脂肪。該分析師初步配適一個迴歸模型如下: 模型1 i = 1,..., 20. 另外,表1計算解釋變數之間的解釋能力。 請由表1計算變異數膨脹因子(variance inflation factor, VIF)評論該分析師所配適的迴歸模型1是否合適?如果不合適,請詳細說明原因和解決方法。
#394714
(二)一位分析師受託分析影響縣市首長滿意度的重要因素。滿意度分數 Y(以1~10為評分範圍,分數愈高代表愈滿意)作為反應變數。該 分析師找到一些重要的解釋變數。依據他所配適的複迴歸模型,有 些預測值有超過10的情況。請問該分析師所配適的複迴歸模型是否 合適?如果不合適,請詳細說明原因和解決的方法。
#394722
(三)一位分析師分析2017年1月至2019年12月的旅遊人數月資料。該分析師配適的迴歸模型如下: 模型2=+...+ 此處 t 是時間, 為獨立且具有共同分配其平均數為0變異數α2 的常態分配, 是虛擬變數,第 i 個月為1,其他月份為0,i=1, 2,…, 11。 請說明在線性迴歸模型下,如何檢查誤差項的所有假設是否有違反。圖2是模型2的標準化殘差值(studentized residual)對應時間的 殘差圖。請問該分析師所配適的複迴歸模型是否合適?如果不合 適,請詳細說明原因和解決的方法。
#394715
(一) 請說明何謂異常點 ( outlier ) 和高槓桿觀察值 ( high leverage ,及其之間的區別。 observation)
#394716
(二)表2第三欄是標準化的殘差值(studentized residual) 。請以此判斷是 否有異常點存在?請說明判斷準則。 表2第五欄是 Student 化刪除殘差 (Studentized deleted residuals,以 R-Student 表示)。第 i 個 R-Student 殘差是在假定將資料中的第 i 個觀察值刪除,然後以剩下的 n-1個觀察值來建立新的估計迴歸方 程式而標準化獲得的 R-Student 殘差值。請以此判斷是否有異常點 存在?請說明判斷準則。
#394717
(三)表2第六欄是 (hat value) ,其公式為 請問 的值為何?請以此判斷是否有可能的高槓桿觀察值存在 ? 請說明判斷準則 。 表 2 的最後一欄 , 第八欄是 DFFITS (Difference in Fits)值。請以此判斷是否有可能的影響點(influential observation)存在?請說明判斷準則。
#394718
(一)在考慮模型1之下,請檢定便利商店數量(X3)這個解釋變數是否 可以從給定模型1中刪除。請用顯著水準 α= 0.05 檢定並敘述對立 假設、檢定統計量之值、決策法則和結論。
#394719
(二)在考慮模型1之下,請檢定房屋座落的緯度(X4)和經度(X5)這兩 個解釋變數是否在模型1對預測單位面積房價有影響。亦即請用 α=0.05 檢定 H0 : β4 = β5 = 0,並請敘述對立假設、檢定統計量之值、 決策法則和結論。
#394720
相關試卷
112年 - 112 地方政府特種考試_三等_統計:迴歸分析#118385
112年 · #118385
112年 - 112 高等考試_三級_統計:迴歸分析#115743
112年 · #115743
111年 - 111 地方政府特種考試_三等_統計:迴歸分析#112613
111年 · #112613
111年 - 111 高等考試_三級_統計:迴歸分析#109790
111年 · #109790
110年 - 110 地方政府特種考試_三等_統計:迴歸分析#104899
110年 · #104899
110年 - 110 高等考試_三級_統計:迴歸分析#102644
110年 · #102644
109年 - 109 地方政府特種考試_三等_統計:迴歸分析#94683
109年 · #94683
109年 - 109 高等考試_三級_統計:迴歸分析#88984
109年 · #88984
108年 - 108 地方政府特種考試_三等_統計:迴歸分析#81611
108年 · #81611
108年 - 108 高等考試_三級_統計:迴歸分析#77833
108年 · #77833