阿摩線上測驗
登入
首頁
>
期貨、選擇權與其他衍生性商品
>
108年 - 108-4 期貨交易分析人員:期貨、選擇權與其他衍生性商品#83283
> 申論題
題組內容
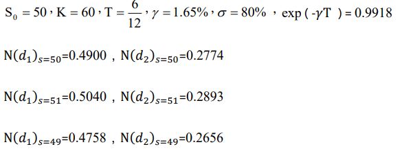
2. 若某券商發行六個月的認購權證共 10,000 單位,相關參數設定為:
(2)期初應該買入或是賣出多少張之標的股票避險?
相關申論題
二、申論題或計算題1. 若 11 月份到期臺指選擇權報價如下: 假設距到時間尚有 1/10 年,定存利率 2.00%,請運用上述成交資料組成: 履約價格分別為 11300、11400、11500 及 11600,面額 1000 萬元,距到期日 1/10年的臺指看多型高收益票券。並請試算此四種看多型高收益票券預期之年化投資報酬率(請計算至百分比以下兩位有效數字)
#338644
(1)若標的物資產沒有發放股利,則券商合理發行價格為何?
#338645
(3)若未來交易日的股價變化如下:S=51、S=49 ,試問該券商之標的股票避險部 位應做如何調整?
#338647
3. 10/15 市場報價,十二月份歐元期貨契約價格€1=US$1.08870,某投資人預期該商品未來價 格將呈下跌趨勢,擬進行期貨投機交易以獲利,歐元期貨契約的原始保證金為 US$2,000 元, 維持保證金 US$1,250 元,該投資人交易 20 口(每口契約單位€125,000),若該投資人持有 到 12/15 最後交易日該商品價格為: i. €1=US$1.09870 (5 分) ii. €1=US$1.08370 (5 分) 該投資人擬平倉結算,請問操作方式與獲利率為多少?
#338648
3.一家美國公司在6個月之後必須支付100萬歐元,目前美元/歐元的6月期遠期匯率是1.04,歐元和美元的無風險利率分別是5%和4%。假設公司決定使用範圍遠期合約(range-forwardcontract)將一年後的實際兌換匯率控制在一特定上下區間內,並希望範圍遠期合約(range-forwardcontract)之成本與採用正規遠期合約(regularforwardcontract)之成本儘可能接近。已知6個月後到期的美元/歐元選擇權報價如下: 為組成範圍遠期合約(range-forwardcontract)將一年後的實際兌換匯率控制在一特定上下區間內,公司應買進/賣出哪些權擇權部位?
#534464
(2)在進行套利後,套利者在一年後的套利利潤是多少?
#534463
(1)套利者應如何套利?請寫下套利者於今日應有的操作,包括買權、賣權、股票、無風險資產或借貸等部位。交易規模部份,請將股票買/賣數量設定為1股。
#534462
(2)請以二期的二項樹求算此衍生性證券今日應有的價值。
#534461
(1)試求算風險中立機率。
#534460
3.假設現有一價值6,000萬美金的投資組合,另外S&P500的指數現在為1,200點。如果投組的價值與指數價值有鏡像關係,請問當投組的價值下跌至5,400萬美金時,應購買多少口(1口=100張契約)賣權,以保護該投組的部位?
#534365
相關試卷
113年 - 113-3 期貨交易分析人員:期貨、選擇權與其他衍生性商品#125812
113年 · #125812
113年 - 113-2 期貨交易分析人員:期貨、選擇權與其他衍生性商品#125776
113年 · #125776
113年 - 113-1 期貨交易分析人員:期貨、選擇權與其他衍生性商品#119566
113年 · #119566
112年 - 112-3 期貨交易分析人員:期貨、選擇權與其他衍生性商品#118922
112年 · #118922
112年 - 112-2 期貨交易分析人員:期貨、選擇權與其他衍生性商品#116285
112年 · #116285
112年 - 112-1 期貨交易分析人員:期貨、選擇權與其他衍生性商品#115159
112年 · #115159
111年 - 111-3 期貨交易分析人員:期貨、選擇權與其他衍生性商品#112631
111年 · #112631
111年 - 111-2 期貨交易分析人員:期貨、選擇權與其他衍生性商品#111986
111年 · #111986
111年 - 111-1 期貨交易分析人員:期貨、選擇權與其他衍生性商品#107704
111年 · #107704
110年 - 110-3 期貨交易分析人員:期貨、選擇權與其他衍生性商品#111988
110年 · #111988