所屬科目:期貨、選擇權與其他衍生性商品
13. 外匯選擇權的價格對利率的敏感度有兩個,稱之為 Rho(ρ)與 Phi(φ)。請問若φ = -0.0750, 在其他條件不變的情境下此代表: (A)本國指標利率上升 1%,選擇權價值減少 0.0750 (B)本國指標利率上升 1%,買權價值減少或賣權價值增加 0.0750 (C)外國指標利率上升 1%,選擇權價值減少 0.0750 (D)外國指標利率上升 1%,買權價值減少或賣權價值增加 0.0750
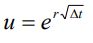
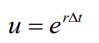
23. 於Cox-Ross-Rubinstein之二元樹模型中,向上移動的比率(the proportional up-movement), u,其定義公式應為下列何項?(假設 r 為無風險利率,σ為價格波動度,∆t 為時間變化量) (A) (B) (C) (D)
32. 假設某一股票選擇權,當股票市價為 10 時,其 Delta=15,請問若一天股價報酬率變化為△x 時,該股票選擇權價格變化為多少? (A)1.5△x (B)15△x (C)150△x (D)225△x
二、申論題或計算題1. 若 11 月份到期臺指選擇權報價如下: 假設距到時間尚有 1/10 年,定存利率 2.00%,請運用上述成交資料組成: 履約價格分別為 11300、11400、11500 及 11600,面額 1000 萬元,距到期日 1/10年的臺指看多型高收益票券。並請試算此四種看多型高收益票券預期之年化投資報酬率(請計算至百分比以下兩位有效數字)