題組內容
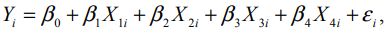
四、一位資料分析師受託分析一組數據,想要了解一個特定基因,稱之 GT 基因,是否有影響老鼠斷奶時的重量。該分析師預計配適模型 1 和模型 2。 

Y=斷奶時的重量(公克為單位)
X1=年齡(以日為單位)
X2=品種(品種 A=1,B=0)
X3=GT 基因(有此基因=1,無此基因=0)
X4=性別(公老鼠=1,母老鼠=0)
模型 1: 

模型 2: 

請使用圖 4 和圖 5 中部分統計電腦套裝軟體輸出變異數分析 (ANOVA, Analysis of Variance)回答下列問題:
圖 4 模型 1 的變異數分析

圖 5 模型 2 的變異數分析
