阿摩線上測驗
登入
首頁
>
計算機數學
>
107年 - 107 專技高考_資訊技師:計算機數學#73027
> 申論題
題組內容
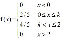
七、X 為一連續隨機變數(Continuous Random Variable),其分布密度函數定 義如下:
請回答下列問題:
⑵隨機變數 X 的平均值(Mean)為多少?(5 分)
相關申論題
一、請以數學歸納法證明 2n2 +6n 是 4 的倍數,此性質對全部自然數均成立。 (10 分)
#297570
二、假設 B(x,y)代表敘述「y 是 x 的最好朋友」,變數 x,y,z 代表居住在 T 城 市的居民。請寫出下列邏輯敘述的意思:(10 分) ∀x∃y∀z(B(x,y)∧ (B(x,z)→(y=z)))
#297571
三、若 G=(V,E)為有權重圖形(Weighted Graph),且每個邊上的權重值均不 相等,則 G 的最小擴張樹狀圖(Minimum Spanning Tree)是否為唯一? 若為真,請敘述理由;若不為真,請舉例說明之。(10 分)
#297572
四、M 足球隊共有 11 人,若一個球季比賽下來,該足球隊共射入 40 球,請 證明 M 足球隊中至少有兩人射入球數相等。(10 分)
#297573
⑴考生甲答題的策略是任何連續兩題的答案不得相同,則考生甲可有多 少種不同的答案。(5 分)
#297574
⑵考生乙答題的策略是任何連續三題的答案不得相同,則考生乙可有多 少種不同的答案。(5 分)
#297575
(1)X 和 Y 是否為獨立隨機變數?(5 分)
#297576
⑵ P(X≤2∣Y=2)值為多少?(5 分)
#297577
⑴ k 的值為多少?(5 分)
#297578
⑴其依序出現正面、反面、反面之機率為何?(5 分)
#297580
相關試卷
114年 - 114 專技高考_資訊技師:計算機數學#133718
114年 · #133718
113年 - 113 專技高考_資訊技師:計算機數學#123934
113年 · #123934
112年 - 112 專技高考_資訊技師:計算機數學#117661
112年 · #117661
111年 - 111 專技高考_資訊技師:計算機數學#111929
111年 · #111929
110年 - 110 專技高考_資訊技師:計算機數學#104224
110年 · #104224
109年 - 109 專技高考_資訊技師:計算機數學#93316
109年 · #93316
108年 - 108 專技高考_資訊技師:計算機數學#80856
108年 · #80856
108年 - 108 一般警察特種考試_二等_刑事警察人員犯罪分析組:計算機數學(包括離散數學、機率與統計)#77048
108年 · #77048
107年 - 107 專技高考_資訊技師:計算機數學#73027
107年 · #73027
107年 - 107 一般警察特種考試_二等_刑事警察人員犯罪分析組:計算機數學(包括離散數學、機率與統計)#69662
107年 · #69662