所屬科目:統測◆11食品群◆(二)食品化學與分析、食品化學與分析實習
1. 下列何者是食品中自由水的特性?①加熱時不易蒸發 ②可作為化學反應的溶劑 ③可參與酵素作用 ④微生物無法利用(A) ①② (B) ①④ (C) ②③ (D) ③④
2. 下列何種層析法操作時需有展開槽?(A) 氣相層析法 (B) 薄層層析法(C) 離子交換層析法 (D) 高效能液相層析法
3. 沒有品評經驗的消費者最適合進行下列何種品評試驗?(A) 三角試驗 (B) 二三點試驗 (C) 喜好性試驗 (D) 描述分析試驗
4. 下列哪一個多醣不是由葡萄糖組成?(A) 菊糖 (B) 肝醣 (C) 澱粉 (D) 纖維素
5. 下列何者是柴魚在熱加工產生香氣的主要化合物?(A) 甲硫醛 (B) 三甲胺 (C) 乙酸異戊酯 (D) 3 -甲基吡啶
6. 依據衛生福利部國民健康署每日飲食指南的分類及建議,下列敘述何者正確?(A) 堅果屬於豆魚蛋肉類 (B) 蔬菜類應攝取1~2份(C) 全榖雜糧類應攝取4.5~5.5碗 (D) 乳品類應攝取360~480毫升
7. 依有效數字及運算規則,下列數值及計算結果的有效位數何者為3位?①0.30②5.50×104③30.5×2.90÷170④56.1+0.572-0.17(A) ①② (B) ①③ (C) ②④ (D) ③④
8. 有關沉澱法的原理與操作,下列敘述何者不正確?(A) 屬於重量分析法(B) 以氯化銀測定食鹽的氯含量,沉澱物為硝酸銀(C) 進行鈣重量分析時,可使用草酸銨當作沉澱劑(D) 待測物與雜質一同沉澱析出,稱為共沉澱效應(現象)
9. 1公斤食品(含水量80%)乾燥至含水量20%時,需去除多少公克的水?(A) 250 (B) 600 (C) 750 (D) 800
10. 糖度計依測定範圍分為標準型、對照型及高對照型,關於其使用及注意事項,下列敘述何者正確? (A) 樣品溫度不會影響糖度測定 (B) 糖度計的設計是利用折射原理 (C) 所有糖度計均以蒸餾水進行歸零校正 (D) 糖度50%的濃縮果汁需用標準型糖度計測定其糖度
11. 揮發性鹽基態氮的測定不需要使用下列何者試劑?(A) 硫酸 (B) 鹽酸 (C) 硼酸 (D) 三氯醋酸
12. 有關危害圖示與毒性化學物質分類,下列敘述何者正確?(A) 易燃氣體及自熱物質的危害圖示為火焰(B) 汞在環境中不易分解為第四類毒性化學物質(C) 危害圖示中骷髏頭代表急毒性物質第1~4級(D) 聯胺會污染環境影響健康,為第三類毒性化學物質
13. 感官品評中的三角試驗,樣品提供順序共有幾種組合?(A) 3 (B) 4 (C) 5 (D) 6
14. 王同學以無水乙醚為萃取溶劑,進行索氏萃取法測定芝麻的粗脂肪含量,下列共有幾個步驟不正確?①芝麻與無水硫酸鈉混合磨細裝入圓筒濾紙②圓筒濾紙以鑷子夾住放入平底燒瓶③於抽(排)氣櫃中加入萃取溶劑④冷凝管上方開口為冷水進口⑤以50℃水浴加熱迴流萃取⑥稱取平底燒瓶減少的重量計算粗脂肪含量(A) 1 (B) 2 (C) 3 (D) 4
15. 有關胺基酸的結構與特性,下列敘述何者正確?①甘胺酸是結構最簡單的胺基酸②精胺酸結構中羧基數比胺基數多③酪胺酸是人體必需的芳香族胺基酸④半胱胺酸與體內氧化還原反應有關(A) ①③ (B) ①④ (C) ②③ (D) ③④
16. 有關食用油脂的特性,下列敘述何者正確?(A) 脂肪酸的飽和度不影響折射率(B) 著火點隨油炸時間增長而下降(C) 飽和脂肪酸分子量愈大,黏度愈小(D) 不飽和脂肪酸含量愈多,比重愈大
17. 下列何者可作為油脂氧化末期的指標?(A) 酸價 (B) 乙醯價 (C) 來赫麥斯值 (D) 硫巴比妥酸價
18. 有關維生素A的特性及生理機能,下列敘述何者正確?(A) 缺乏會造成乾眼症(B) 與人體表皮細胞角質化無關(C) 對空氣及光線安定,但對熱敏感(D) 1分子 β-胡蘿蔔素水解可產生1分子維生素A
19. 有關維生素B1及B2的特性及生理機能,下列敘述何者正確?①缺乏維生素B1會引起口角炎②維生素B1的化學結構式含有硫及胺基③缺乏維生素B2會產生多發性神經炎及腳氣病④維生素B2在鹼性條件下加熱比在酸性條件下更易被破壞(A) ①③ (B) ①④ (C) ②③ (D) ②④
20. 有關葉綠素的構造及性質,下列敘述何者正確?(A) 葉綠素c及d僅存於海藻(B) 在酸性條件下加工會形成水溶性的葉綠酸(C) 由葉綠酸、葉綠醇及甲醇組成的水溶性色素(D) 大部分高等植物的葉綠素a及b含量比例約4:1
21. 有關澱粉的結構、糊化及回凝特性,下列敘述何者正確?(A) 糊化狀態的澱粉會呈現雙折射性(B) 糊化狀態的澱粉會呈現不透明膠體狀態(C) 回凝後的澱粉比生澱粉不易被人體消化(D) 直鏈澱粉是由葡萄糖以β- 1,4醣(糖)苷鍵鍵結而成
22. 蘆筍及竹筍等蔬菜組織受到光線照射時,其所含苯丙胺酸會受到酵素作用轉化為下列何種物質而造成組織老化?(A) 果膠 (B) 纖維素 (C) 木質素 (D) 半纖維素
23. 有關砷引起的化學性食品中毒,下列敘述何者正確?(A) 砒霜是二硫化二砷(B) 痛痛病是因為砷中毒(C) 無機砷的毒性高於有機砷(D) 生物體內的砷價數可互相轉變,以五價砷最常見且毒性最高
24. 李同學進行食品添加物的急性毒性試驗,下列敘述何者正確?(A) 食品添加物分二次給予實驗動物食用(B) 觀察實驗動物於24小時內的急性中毒症狀(C) 食品添加物的半(數)致死劑量(LD50 )愈小,表示其毒性愈弱(D) 食品添加物的人體每日容許攝取量可由LD50乘以安全係數而得
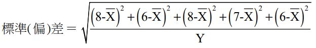
25. 何同學進行食品分析實驗,測得五重複之數值分別為8%、6%、8%、7%和6%,並代入標準(偏)差的計算公式,下列敘述何者正確?(A)代入6(B) Y 代入4(C) 標準(偏)差代表測定結果的準確度(D) 平均偏差比標準(偏)差更能呈現出數值偏差的大小
26. 有關四分法取樣之應用及操作,下列敘述何者正確?①適用於汽水的取樣②可使分析樣品更具有代表性③在樣品攤平均分成四份後,取其中一份當作測試樣品④可重複取樣操作步驟,使樣品減至適當的量(A) ①③ (B) ①④ (C) ②③ (D) ②④
27. 配製0.100N硝酸溶液,應取用多少毫升的10.0N硝酸加水稀釋至1.00公升?(假設體積有加成性) (A) 0.0100 (B) 0.100 (C) 10.0 (D) 1.00×102
28. 陳同學欲配製重量百分濃度 10.0 % 的硫酸鎂溶液 100.0 公克,應稱取含水硫酸鎂 (MgSO4‧7H2O)多少公克?(原子量( g /mol):H=1.00,O=16.0,Mg=24.0,S=32.0) (A) 1.00 (B) 2.05 (C) 10.0 (D) 20.5
29. 有關過錳酸鉀(KMnO4 )氧化還原反應的原理及應用,下列敘述何者正確? (A) KMnO4為內指示劑 (B) MnO4 – +8H+ +5 e – →Mn2+ +4H2O反應式中,Mn氧化數變化為+7 (C) KMnO4標準溶液可以用草酸鈉進行標定,滴定終點為淡紅色~微粉色 (D) KMnO4標準溶液配製後會產生氧化錳等雜質,須立即進行標定
30. 在25℃下,0.000100M鹽酸溶液的[OH– ]及pH值各為多少? (A) 10.0– 4 M、1.00 (B) 10.0– 4 M、4.00 (C) 10.0– 10M、1.00 (D) 10.0– 10M、4.00
31. 有關碘氧化滴定法的原理,下列敘述何者正確?(A) 滴定終點為藍色(B) 以硫代硫酸鈉標準溶液滴定碘分子(I2 )的量(C) 漂白粉中有效氯含量之測定屬於碘氧化滴定法(D) 於酸鹼值中性的環境下,易產生逆反應,造成定量誤差
32. 康威氏皿法進行水活性(Aw)測定的步驟如①~④,下列敘述何者正確?①取4個康威氏皿,精稱樣品放入內室鋁箔小皿,外室分別置入4種標準鹽類溶液②實驗條件:恆溫箱30℃、24小時③取出內室鋁箔小皿,再度精稱樣品重量④以樣品重量增減百分率為縱軸,平衡相對濕度為橫軸作圖,結果如圖(一)(A) 標準鹽類溶液的濃度須達到飽和狀態(B) 為提高密封性,康威氏皿須蓋上塗有純水的蓋子(C) 本實驗樣品水活性為60%(D) 可直接將食品水分含量數值當作水活性
33. 有關凱氏氮定量法的原理與操作,下列敘述何者正確?①樣品分解使用濃硫酸,將氮成分轉成氨氣(NH3 )②樣品分解時加入混合藥劑(硫酸銅與硫酸鉀)是為加速分解及提高沸點③蒸餾時以30%氫氧化鈉溶液使銨鹽轉成氨氣④利用酸鹼中和原理,以硫酸標準溶液反滴定被氫氧化鈉吸收的氨氣⑤所有食品的粗蛋白含量計算,氮係數均以6.25代入(A) ①② (B) ②③ (C) ③④ (D) ④⑤
34. 有關肉品中亞硝酸鹽之使用目的、規定及以分光光度計法定量,下列敘述何者正確?①作為著色劑使用②可添加於生鮮肉類中 ③成品最終殘留量以亞硝酸根(NO2 – )計,不得超過0.7 g / kg④含量檢測實驗步驟為蛋白質沉澱→重氮化→偶合呈色→吸光度測定⑤分光光度計檢測波長為540 nm (A) ①③ (B) ②④ (C) ③⑤ (D) ④⑤
35. 以濾紙層析法分析某色素,將樣品點於距濾紙底部 3.0 公分處,層析後,色素移動至距底部9.0公分處,展開溶劑前緣線距底部15公分,該色素的移動率(Rf值)為多少? (A) 0.40 (B) 0.50 (C) 0.60 (D) 0.75
36. 灰分測定時,樣品應放置於下列何種器具中?(A) (B)(C) (D)
37. 以梭摩基法進行還原醣定量 ( R-CHO + 2 CuO → R-COOH + Cu2O ↓ ) ,下列敘述何者不正確? (A) 還原醣可被CuO還原成有機酸 (B) 反應產物Cu2O為紅棕色沉澱,需再與碘分子(I2 )作用 (C) 以硫代硫酸鈉溶液滴定剩餘的I2 (D) 滴定至三角瓶(錐形瓶)內黃褐色轉變為綠色時,才加入澱粉指示劑
38. 下列哪些食品成分可利用重量分析法進行測定?①水分 ②粗蛋白 ③有機酸 ④粗脂肪(A) ①② (B) ①④ (C) ②③ (D) ③④
39. 方同學以過錳酸鉀溶液測定雙氧水中過氧化氫含量,下列敘述何者正確?(A) 須於酸性條件下滴定 (B) 添加酚酞為滴定指示劑(C) 滴定終點顏色為墨水藍消失 (D) 過錳酸鉀溶液使用前不需過濾
40. 有關pH計的校正、測定與保存步驟,下列順序何者正確?①pH4緩衝溶液校正斜率②pH7緩衝溶液校正零點③電極以蒸餾水洗淨及拭乾④電極保存於3M氯化鉀溶液⑤電極浸入測定液(A) ①→③→②→③→⑤→③→④→③ (B) ②→⑤→①→⑤→③→⑤→③→④(C) ③→①→③→②→③→④→③→⑤ (D) ③→②→③→①→③→⑤→③→④
41. 有關食品分析試驗測試目標物及產物顏色的配對,下列何者正確?①坂口試驗-精胺酸-橘紅色②斐林試驗-半乳糖-紅棕色③地衣酚試驗-果糖-藍色④黃蛋白試驗-酪胺酸-紫紅色(A) ①② (B) ①③ (C) ②③ (D) ②④
42. 有關醣類的特性,下列敘述何者不正確?(A) 山梨糖醇由果糖還原而得,可作甜味劑(B) 麥芽糖可由澱粉水解生成,具防止還砂作用(C) 果糖可由葡萄糖異構化生成,甜度高於葡萄糖(D) 棉子糖由葡萄糖、半乳糖和果糖組成,會造成人體腸道脹氣
43. 有關蛋白質的特性,下列敘述何者正確?(A) 豆類蛋白質缺乏離胺酸(B) 胜肽鍵斷裂是蛋白質變性原因(C) 與雙縮脲試劑反應呈紫紅色(D) 穀蛋白是水溶性佳的單純蛋白質
44. 有關礦物質之生理機能,下列敘述何者不正確?(A) 鈣有助於血液的凝固作用(B) 鋅為醣類代謝作用所必需的元素(C) 磷會促進醣類及脂質的新陳代謝(D) 硒攝取過量會使人體罹患克山症
45. 有關食品添加物的特性及使用,下列敘述何者正確? (A) 苯甲酸可殺死食品的所有微生物 (B) 碳酸氫鈉屬於膨脹劑,可用於麵包及蛋糕的製作 (C) 羧甲基纖維素屬於結著劑,可增加肉品的保水性及黏彈性 (D) 過氧化氫可用於魚肉煉製品,於食品中的殘留量須低於70 ppm
46. 下列哪些實驗會使用硫代硫酸鈉標準溶液進行滴定?①油脂皂化價②油脂過氧化價③漂白水有效氯含量④維生素C含量-碘滴定法⑤亞硫酸鹽含量-通氣蒸餾法(A) ①③正確,②④⑤錯誤 (B) ②③正確,①④⑤錯誤(C) ③④正確,①②⑤錯誤 (D) ②④⑤正確,①③錯誤
47. 下列何種分析實驗操作需用到冷凝裝置?(A) 維生素C含量-靛酚法 (B) 油脂酸價-酸鹼滴定法(C) 粗蛋白含量-凱氏氮定量法 (D) 揮發性鹽基態氮-康威氏皿法
48. 周同學稱取 0.8160 公克鄰苯二甲酸氫鉀 ( C8H5O4K ) ,以水溶解後加入指示劑,標定 0.1 N 氫氧化鈉溶液,達滴定終點時,計算力價( F )為 1.0,則氫氧化鈉滴定體積為多少毫升? (原子量( g/mol):H=1.00,C=12.0,O=16.0,K=39.0) (A) 0.04 (B) 0.4 (C) 4 (D) 40
49. 葡萄汁20.0毫升加水稀釋至100.0毫升,取此稀釋果汁50.0毫升,以0.10 N氫氧化鈉溶液 ( F = 1.0 )滴定,滴定體積為5.0毫升,0.10 N氫氧化鈉溶液 1.0毫升相當的有機酸克數如表(一)所示,此葡萄汁的有機酸含量為多少%? (A) 0.30 (B) 0.38 (C) 0.67 (D) 0.75
50. 沈同學進行地下水硬度的測定,下列共有幾個步驟正確?①以刻度(移液)吸管取樣品置於三角瓶(錐形瓶)②加入2.0毫升磷酸緩衝液③滴加數滴EDTA為指示劑④指示劑與鈣、鎂等金屬結合為(酒)紅色⑤滴定終點水樣顏色為無色(A) 1 (B) 2 (C) 3 (D) 4