問在 1/(2+√3)與3/(2√7−5) 之間的整數共有多少個呢?
(A)8
(B)9
(C)10
(D)11
答案:登入後查看
統計: A(176), B(220), C(399), D(75), E(0) #1067335
統計: A(176), B(220), C(399), D(75), E(0) #1067335
詳解 (共 2 筆)
#1264844
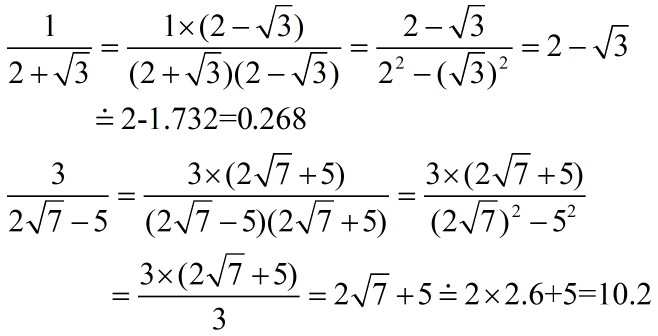
先把兩個分數有理化

所以0.268~10.2之間的整數有1~10,共10個
43
0
#1264766
請問這題怎麼解呢~?
0
0