阿摩線上測驗
登入
首頁
>
控制系統
>
112年 - 112 高等考試_二級_電力工程:控制系統#116766
> 申論題
題組內容
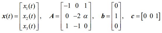
三、給定系統狀態方程式如下:
其中輸入為 u (t) ,輸出為 y(t) ,系統狀態向量 x (t) 以及系統矩陣 A、b 與 c 分別為
(三)此系統是否具有狀態可觀測性?請說明理由。(5 分)
相關申論題
(一)若 Y(s)=H(s)U(s),求轉移函數H(s)=?(5 分)
#498860
(二)令 u (t)=-4y(t)+c(t) , C(s) 為c(t)的拉普拉斯轉換,若Y(s)=G(s)C(s),求G(s)=?(5 分)
#498861
(三)若 c(t)=cos 2t ,則當 t→∞時,輸出為 y(t)=A cos(ωt+θ) ,求 A 、ω與θ各為何?並說明為何 y (∞) 與初值 y0 與 v0 無關。 (15 分)
#498862
(一)畫出 K ≥ 0 的根值軌跡圖(root locus) ,可簡略標示但必須包括此軌跡 與虛軸交點之位置、在實軸上的分離點、以及漸近線。(15 分)
#498863
(二)當 K = α 時,系統具有兩個純虛根以及一個實根 s = β ,求 α 與 β 各為 何?(6 分)
#498864
(三)當系統為穩定時,K 值的範圍為何?(4 分)
#498865
(一)當 u(t)=0 時,若此系統為穩定,求α的範圍為何?(5 分)
#498866
(二)此系統是否具有狀態可控性?請說明理由。(5 分)
#498867
(四)當α=1時,此狀態方程式可化為三階微分方程式如下:求係數 a2 、 a1 、 a0 、 b2 、 b1 與 b0 各為何?(10 分)
#498869
(一)令 Y (z ) 與U (z ) 分別為輸出與輸入的 z 轉換(z transform),則此系統的轉移函數為 ,其中 P(z ) 與 Q(z) 為 z 的多項式函數,求 P(z) = ? Q(z) = ?(8 分)
#498870
相關試卷
114年 - 114 高等考試_二級_電力工程:控制系統#131606
114年 · #131606
113年 - 113 高等考試_二級_電力工程:控制系統#123078
113年 · #123078
112年 - 112 高等考試_二級_電力工程:控制系統#116766
112年 · #116766
111年 - 111 高等考試_二級_電力工程:控制系統#111038
111年 · #111038
110年 - 110 高等考試_二級_電力工程:控制系統#101931
110年 · #101931
109年 - 109 高等考試_二級_電力工程:控制系統#91548
109年 · #91548
108年 - 108 高等考試_二級_電力工程:控制系統#79579
108年 · #79579
107年 - 107 第十八屆TAIROA社團法人台灣智慧自動化與機器人協會_自動化工程師證照考試_Level 2/機器人中階:控制系統#72749
107年 · #72749
107年 - 107 高等考試_二級_電力工程:控制系統#72396
107年 · #72396
106年 - 106 高等考試_二級_電力工程:控制系統#65249
106年 · #65249