所屬科目:衍生性商品之風險管理
3. 若期貨選擇權 3 個月後到期,標的期貨契約 4 個月後到期,目前期貨價格與選擇權履約價同為 7 元,無風險利率為 10%,標的資產波動度為 25%,若出售 1,000 單位之歐式期貨買權,其 delta 約為多少? 1.
4. 假設投資組合中 1 千萬投資於資產甲,5 百萬投資於資產乙。假設兩資產每日波動度各為 2% 及 1%,而兩資產的相關係數為 0.3。試問:此投資組合 10 天 97.5%的風險值為何? (A)513,129 (B)812,530 (C)1,149,091 (D)1,364,981
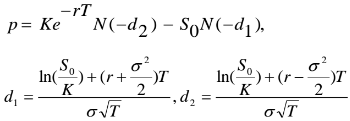
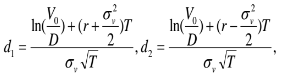
8為資產價值之波動度。以下何者代表公司違約之風險中立機率?
(A) (B) (C) (D)
9. Black-Scholes 的股票賣權公式 欲以人工合成賣權的方式形成投資組合保險,應以何種方式操作?
(A)以無風險利率借錢,並買入占投資組合 比率的股票
(B)賣出占投資組合 比率的股票,並投資無風險性資產
(C)以無風險利率借錢,並買入占投資組合 比率的股票
(D)賣出占投資組合 比率的股票,並投資無風險性資產
3. 假設 5 年期債券,票面價格為$100,到期殖利率為 8% (連續複利),於每年底支付 10%利息。 試問此債券理論價格為何? 債券的存續期間為何?