所屬科目:教師檢定(教檢)◆國民小學◆數學能力測驗
3.設代表由 1、2、3、4、5、6、7、8 等八個數字中選出的三個 相異數字,使得 為最小值時,其之值為何? (A) 5 (B) 9 (C) 15 (D) 57
4.一些三角形排出圖 1、圖 2、圖 3、⋯的圖形,如下圖:
若用 300 個三角形排出第個圖(會剩下一些三角形),則n的最大值是多少? (A) 9 (B) 16 (C) 17 (D) 26
5.有一方程式為 ,下列何者與該方程式有相同的解? (A) (B) (C) (D)
6.對於任意正整數,問下列哪一個等式錯誤? (A) (B) (C) (D)
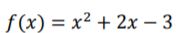
7.已知 ,請判斷下列哪些敘述是正確的? 甲:y=f(x)的函數圖形為拋物線 乙:x=-1在時f(x)有最小值−4 丙:x=-1在時f(x)有最小值−2 丁:f(x)=0有相異的兩根1和−3 戊:y=f(x)的函數圖形與x軸相交於(−1, −4)(A) 只有甲、乙、丁正確(B) 只有甲、乙、戊正確(C) 只有甲、丙、丁正確(D) 只有甲、丙、戊正確
8 .請判斷下列關於二次函數 的圖形之敘述是錯誤的?(A) α愈大拋物線的開口愈大(B) α的正負決定拋物線的開口方向及最大值與最小值(C) 時函數圖形為拋物線且與x軸相交(D) 函數圖形為拋物線且頂點坐標為
9.設 ,是公差為 d 的等差數列,下列哪一個關於等差數列的敘述是正確的? (A) 若 ,則 ,是公差為 d+3 的等差數列。 (B) 若,則是公差為 2d 的等差數列。 (C) 若則 ,是公差為 2d+3 的等差數列。 (D) 若,則,en是公差為 d2 的等差數列。
10.已知∆ABC 為鈍角三角形,且∠A> ∠B > ∠C ,則下列敘述何者恆真? (A)(B)(C)(D)
13.有一組合圖形,其中每一個四邊形都為正方形、每一個三角形都為直角 三角形,如下圖: 若正方形甲的面積為 1,則所有正方形(含甲)的面積和為多少? (A) 3(B) 4 (C) 5 (D)6
14.在平面上與平行,∠ABC = 130°、∠ CDE = 45°,如下圖: 問 ∠BCD 的度數為何? (A) 175° (B) 135° (C) 95° (D) 85°
15.全班 25 人的數學成績統計圖如下: 若小明的分數是在第 75 百分位數,則小明的分數是幾分? (A) 77 (B) 78 (C) 81 (D) 82
20.( )當學童尚未學過兩整數相除的結果是小數,下列有四組關於分數的大小 比較問題,問何者最需要使用通分策略來比較大小? (A) (B) (C) (D)
21.( )教師在黑板上畫了兩個角,並在角上做了弧形記號如下: 下列是四位學童的說法,問哪一位學童的說法和答案都是正確的? (A) 因為乙角的邊長比甲角長,所以乙角比較大 (B) 因為甲角的弧形記號比乙角長,所以甲角比較大 (C) 因為甲角所夾的區域比乙角大,所以甲角比較大 (D) 因為甲角張開的程度比乙角大,所以甲角比較大
22.( )在國小分數教材中,有關「 的意義」的不同表徵,下列哪一項是最晚 學習的? (A) (B) (C) (D)
23.( )老師上課時布了一個問題:「每箱飲料有 24 瓶,小明拿了 箱,小華也 拿了和小明一樣多的飲料。請用不同於的分數,來表示小華拿了多少箱?並在 同一個圖中標示,表示小華和小明所拿的這兩個分數一樣大。」 老師在進行這個問題教學時,學習目標最可能是下列哪一個? (A)認識等值分數 (B)認識異分母分數的大小比較 (C)認識真分數 (D)認識比值
24.( )有一數學習作的問題如下: 若學童有「愈乘愈大,愈除愈小」的迷思概念,則對該問題的作答結果依 序為何? (A) > 、 < 、 > 、 < (B) > 、 < 、 < 、 > (C) > 、 > 、 < 、 < (D) < 、 > 、 > 、 <
27.( )教師在課堂上展示一些圖卡如下,並要求學童用三角板測量直角及邊 長: (甲、乙、丙是直角三角形,丁、戊是等腰三角形,己是等腰直角三角 形) 某些學童認為只有甲是直角三角形、只有丁是等腰三角形。這些學童回答 錯誤的最可能原因為何? (A) 受到圖形大小的影響 (B) 受到圖形填滿的影響 (C) 受到圖形方向的影響 (D) 受到圖形邊長的影響
28.( )有關國小「放大圖和縮圖」的教學,某教師提供 A、B、C 三個平行 四邊形,B 是 A 的 4 倍放大圖、C 是 A 的 倍縮圖。有關四位學童的說法 如下: 甲、C 圖的各邊長都是 A 圖對應邊長的 倍 乙、B 圖的各邊長都是 A 圖對應邊長的 2 倍 丙、B 圖的各個角度都是 A 圖對應角的 4 倍 丁、C 圖的面積是 A 圖的倍 下列敘述何者為真? (A) 只有甲正確 (B) 只有乙正確 (C) 只有甲、丁正確 (D) 只有乙、丙正確
29.( )有三個「用尺規畫圓」的作業,其內容如下: 問這三個作業由易到難的順序為何? (A) 甲 → 乙 → 丙 (B) 乙 → 甲 → 丙 (C) 乙 → 丙 → 甲 (D) 丙 → 乙 → 甲
30.( )依據下面的折線圖, 有一些數學問題如下: 甲、9月分銷售數量佔6-12月銷售總數量的比率是多少? 乙、12月比6月銷售數量多幾輛? 丙、11月和12月e共銷售幾輛汽車? 丁、8月和12月銷售數量的比值是多少? 若要讓四年級學童學習報讀及解釋此統計表,哪些數學問題是適合的? (A) 只有乙、丙 (B) 只有甲、乙、丙 (C) 只有乙、丙、丁 (D)甲、乙、丙、丁
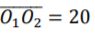
2.設圓O1與圓O2外切,兩圓的圓心分別為O1與O2,連心線,則兩圓的 面積和之最小值為何?(圓周率以表示)