所屬科目:衍生性商品之風險管理
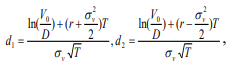
19. Black-Scholes的股票賣權公式:
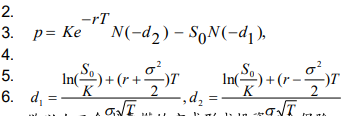
欲以人工合背|權的方式形成投資备保險,應以何種方式操作?當股價下跌時又應如何動態調 整持有部位? (A)以無風險利率借錢,並買入佔投資組合[1-N(d1)]比率的股票;當股價下跌時,加碼買進 (B)賣出佔投資組合[1-N(d1)]比率的股票,並投資無風險性資產;當股價下跌時,加碼賣出 (C)以無風險利率借錢,並買入佔投資組合N(d1)比率的股票;當股價下跌時,加碼買進 (D)賣出佔投資組合N(d1)比率的股票,並投資無風險性資產;當股價下跌時,加碼賣出
28.若某資產3天95%的風險值為2,015,則其1天99%的風險值為何? (A) 672 (B) 824 (C) 1,643 (D) 2,471
31.假設一金融機構之投資組合為一美元對歐元匯率選擇權,此投資組合的delta為30,目前匯率為 1.1,若每日匯率變動率之波動度為3%,試問:5天期97.5%的風險值為何? (A) 3.76 (B) 4.34 (C) 5.29 (D) 7.85
32.假設投資組合中1千萬投資於資產A,5百萬投資於資產B。假設兩資產每日波動度各為2%及 1%,而兩資產的相關係數為0.3。試問:此投資組合10天95%的風險值為何? (A) 1,513,129 (B) 1,368,405 (C) 1,149,091 (D) 965,187
33.試問:此投資組合5天99%的風險值為何? (A) 11,714 (B) 17,099 (C) 36,986 (D) 52,306
3. 一金融機構的指數選擇權投資組合如下所列:
假設一可交易的選擇權其delta為0.5,而gamma為3.8,無風險利率為2%。 試問應持有多少部位的上述可交易的選擇權以及三個月期的指數期貨,才可使得該機構之投資組合 同時達到gamma中立及delta中立? (10分)