題組內容
二、一位統計分析師分析奧林匹克男子田徑短跑200公尺數據,包含1900年至2020年間舉行的28次男子200 公尺奧林匹克短跑比賽獲金牌的秒數,其中第一次和第二次世界大戰期間沒有舉辦奧運會,而2020年奧林匹克運動會因為COVID-19疫情實際是2021年在日本東京舉行。因此資料包含year(以年為單位)和Y(以秒為單位),其散布圖在圖 1。


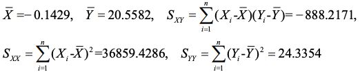
這位統計分析師重新定義變數,他把“西元年(year)”平減1963,並定義新的解釋變數X,也就是 X=year−1963。樣本相關資訊如下,其
中n為樣本數,請依據這些資訊回答問題。
