所屬科目:教師檢定(教檢)◆國民小學◆數學能力測驗
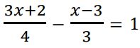
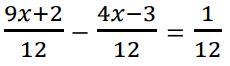
5.有一方程式為,下列何者與該方程式有相同的解? (A) (B) (C) 9x + 6 − 4x − 12 = 12 (D) 9x + 6 − 4x + 12 = 12
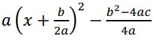
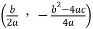
7.請判斷下列哪一項關於二次函數y = f(x) = α x2 + bx + c = 的圖 形之敘述是正確的? (A) α 的正負決定拋物線的開口方向及有最大值或最小值 (B) α 愈大拋物線的開口愈大 (C) 函數圖形為拋物線且頂點坐標為 (D) b2 − 4α c ≥ 0 時函數圖形為拋物線且與x軸相交於相異二點2
9.設α 1,α 2,α 3,… ,α n是公差為d的等差數列,下列哪一個關於等差數列的敘述是正確 的? (A) 若,則b1,b2,b3,… ,是公差為d +3 的等差數列。
(B) 若,則c1,c2,c3,… ,是公差為2d的等差數列。
(C) 若 ,則d1,d2,d3,… ,是公差為2d + 3的等差數列。
(D) 若,則e1,e2,e3,… ,是公差為d2的等差數列。
10.正方形 ABCD 中,O 為正方形的中心點;公分、公分;甲為 的面積、乙為四邊形 OSAT 的面 積;如右圖:問下列敘述何者為真?
14.某社區巡守隊的成員有 2 位男士和 2 位女士,若先隨機抽取一人擔任隊長,再隨機抽 取另一人擔任副隊長,則抽中隊長和副隊長恰好都是女士的機率為何? (A) (B) (C) (D)
19.有關「單位分數」的啟蒙教學,下列的說明何者最適合? (A) 將 1 個披薩平分成 2 份,其中的 1 份是 個披薩 (B) 將 1 個披薩平分成 2 份,其中的 1 份是全部的 (C) 有甲與乙兩個一樣大的披薩,若將甲披薩平分成 2 份,則甲披薩的 1 份是乙披薩 的 (D) 有甲與乙兩個一樣大的披薩,若將甲披薩平分成 2 份,則甲披薩的 1 份是個乙 披薩
20.有四個關於「面積大小比較」的教學活動如下:甲、請比較兩本作業本(約 27cm × 20cm 和 20cm × 15cm)的大小 乙、請比較教室裡兩塊白板(約 120cm × 100cm 和 130cm × 90cm)的大小 丙、請比較嵌在牆壁上的兩幅壁畫(約 85cm × 65cm 和 60cm × 90cm)的大小 丁、請比較學校中廊固定在牆壁上兩個並列的公佈欄(約 450cm × 270cm 和 150cm × 90cm)的大小問哪些活動一定得透過「間接比較」才能比出兩物的面積大小? (A) 只有甲、乙 (B) 只有乙、丙 (C) 只有乙、丁 (D) 只有丙、丁
27.有關「等分」的啟蒙教學,問下列哪一個圖形最不適合? (A) (B) (C) (D)
29.有關國小「放大圖和縮圖」的教學,某教師提供 A、B、C 三個圖形,B 是 A 的 4倍放大圖、C 是 A 的倍縮圖。有關四位學童的說法如下:甲、C 圖的各邊長都是 A 圖對應邊長的倍乙、B 圖的各邊長都是 A 圖對應邊長的 2 倍丙、B 圖的各個角度都是 A 圖對應角的 4 倍丁、C 圖的面積是 A 圖的倍下列敘述何者為真?(A) 只有甲正確 (B) 只有乙正確(C) 只有甲、丁正確 (D) 只有乙、丙正確
(4) 的長度。