所屬科目:統測◆11食品群◆(一)食品加工、食品加工實習
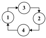
2. 壓縮式冷凍機的四個主要組成為: ① 膨脹閥 ② 冷凝器 ③ 壓縮機 ④ 蒸發器,有關冷媒在 機械系統內之循環順序,下列何者正確? (A) (B) (C) (D)
6. 一般傳統的消費方式常將豬隻的屠體分割為五個部位,如圖(一)所示。肉品加工上常用的 三層肉(五花肉)係取自於豬隻的哪個部位? (A) 1 (B) 2 (C) 3 (D) 4
47. 下列市售肉製品於製作過程中,可能會用到圖(二)設備的製品有哪些? ①中式香腸 ②金華火腿 ③法蘭克福香腸 ④貢丸 (A) ①② (B) ①④ (C) ②③ (D) ③④